트리
루트 값과 부모-자식 관계의 서브트리로 구성되며, 서로 연결된 노드의 집합이다.
트리의 중요한 속성 중 하나는 재귀로 정의된 자기 참조 자료구조라는 점이다. 트리는 자식도 트리고 또 그 자식도 트리다.
트리의 각 명칭
트리는 항상 루트에서부터 시작된다. 루트는 자식 노드를 가지며, 간선(Edge)으로 연결되어 있다. 자식 노드의 개수는 차수(Degree)라고 하며, 크기(Size)는 자신을 포함한 모든 자식 노드의 개수이다.
높이(Height)는 현재 위치에서부터 리프까지의 거리, 깊이는 루트에서부터 현재 노드까지의 거리이다.
그래프 vs 트리
가장 큰 차이점은 바로 트리는 순환 구조를 갖지 않는 그래프입니다 이다. 핵심은 순환 구조가 아니라는 데 있다. 트리는 그래프와 달리 어떠한 경우에도 한번 연결된 노드가 다시 연결되는 법이 없다.
그뿐만 아니라 트리는 하나의 부모 노드를 갖는다는 차이점이 있으며 루트 또한 하나여야 한다.
이진 트리
트리 중에서도 가장 널리 사용되는 트리 자료구조는 이진 트리와 이진 탐색 트리(Binary Search Tree)이다.
모든 노드의 차수가 2이하일 때 이진트리이다. 크게 3가지 유형으로 나뉜다.
정 이진 트리
모든 노드가 0개 또는 2개의 자식 노드를 갖는다.
완전 이진 트리
마지막 레벨을 제외하고 모든 레벨이 완전히 채워져 있으며 마지막 레벨의 모든 노드는 가장 왼쪽부터 채워져 있다.
포화 이진 트리
모든 노드가 2개의 자식 노드를 갖고 있으며, 모든 리프 노드가 동일한 깊이 또는 레벨을 갖는다. 문자 그대로, 가장 완벽한 유형의 트리이다.
이진 트리의 최대 깊이
이진 트리의 최대 깊이를 구하라.
풀이 1. 반복 구조로 BFS 풀이
트리의 깊이 측정 여러 방법이 있지만, 그 중 하나는 BFS이다. BFS는 재귀가 아닌 반복 구조로 풀이할 수 있다.
def maxDepth(root) :
...
queue = collections.deque([root])
depth = 0
while queue:
...
return depth큐를 선언하고 반복 구조도 구성하여 BFS 반복을 이용해 풀이할 구조를 잡았다. 파이썬에서 큐는 일반적인 리스트로도 모든 연산이 가능하지만, 데크 자료형을 사용하면 이중 연결 리스트로 구성되어 있기 때문에 큐와 스택 연산을 모두 자유롭게 할 뿐만 아니라 양방향 모두 O(1)에 추출할 수 있어 좋은 성능을 보인다. 여러번 책에서 강조되었다
while queue :
depth += 1
for _ in range(len(queue)) :
cur_root = queue.popleft()
...
if cur_root.has_child() :
queue.append(cur_root.left)큐 변수에는 현재 깊이 depth에 해당하는 모든 노드가 들어 있고, queue.popleft()로 하나씩 끄집어 내면서 cur_root.has_child()로 자식 노드가 있는지 여부를 판별한 후 자식 노드를 다시 큐에 삽입한다.
깊이 depth가 반복 횟수이므로 각 깊이에 맞게 노드 삽입이 진행된다.
def maxDepth(root) :
if root is None :
return 0
queue = collections.deque([root])
depth = 0
while queue:
depth += 1
# 큐 연산 추출 노드의 자식 노드 삽입
for _ in range(len(queue)) :
cur_root = queue.popleft()
if cur_root.left :
queue.append(cur_root.left)
if cur_root.right :
queue.append(cur_root.right)
return depth43. 이진 트리의 직경
이진 트리에서 두 노드 간 가장 긴 경로의 길이를 출력하라.
풀이 1. 상태값 누적 트리 DFS
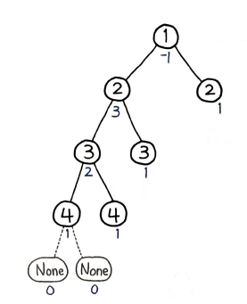
가장 긴 경로를 찾는 방법은 먼저 가장 말단, 즉 리프 노드까지 탐색한 다음 부모로 거슬러 올라가면서 각각의 거리를 계산해 상태값을 업데이트하면서 다음과 같이 누적해 나가면 된다.
위의 그림처럼, 존재하지 않는 노드에도 -1 이라는 값을 부여한다. 정 이진 트리가 아닌 대부분의 경우에는 존재하지 않는 자식 노드에 -1을 부여해 페널티를 주는 경우가 대부분이다.
이진 트리의 직경을 구하는 방법은 먼저 가장 말단, 즉 리프 노드까지 탐색한 다음 부모로 거슬러 올라가면서 각각의 거리를 계산해 상태값을 업데이트하면서 다음과 같이 누적해 나가면 된다.
def dfs(node) :
...
left = dfs(node.left)
right = dfs(node.right)이처럼 계속 재귀 호출을 통해 왼쪽, 오른쪽의 각 리프 노드까지 DFS로 탐색한다.
def dfs(node) :
...
self.longest = max(self.longest, left + right + 2)
return max(left, right) + 1이후에는 2개의 값을 계산하는데, 하나는 최종 결과가 될 가장 긴 경로 self.longest, 나머지 하나는 앞서 얘기한 상태값 max(left, right) + 1을 말한다.
a = left + right + 2 # 거리
b = max(left, right) + 1 # 상태값자식 노드가 둘 다 상태값이 0이면 거리 a는 2, 상태값인 b는 1이 된다.
거리는 왼쪽, 오른쪽 자식 사이의 경로이므로 2를 더하게 되고, 상태값은 양쪽 자식 중 최대 상태값과 부모까지의 거리인 1을 더하게 된다.
class Solution :
longest: int = 0
def diameterOfBinary(self, root: TreeNode) -> int:
def dfs(node: TreeNode) -> int :
if not node :
return -1
# 왼쪽, 오른쪽의 각 리프 노드까지 탐색
left = dfs(node.left)
right = dfs(node.right)
# 가장 긴 경로
self.longest = max(self.longest, left + right + 2)
# 상태값
return max(left, right) + 1
dfs(root)
return self.longest중첩 함수에서 클래스 변수를 사용한 이유
중첩 함수는 부모 함수의 변수를 자유롭게 읽을 수 있다. 그러나 중첩 함수에서 부모 함수의 변수를 재할당하게 되면 참조 ID 가 변경되며 별도의 로컬 변수로 선언된다.
longest 변수의 값은 계속해서 갱신되어야하기 때문에, 즉 재할당되어야 하기 때문에 부모 함수의 변수를 그대로 사용불가능하다. 그래서 함수 바깥에서 클래수 변수로 선언을 한 것이다.
만약 longest의 값이 숫자나 문자가 아니라 리스트나 딕셔너리 같은 자료형이라면 append() 등의 메소드를 이용해 재할당 없이 조작이 가능하다. 중첩 함수 내에서도 변수의 값이 조작가능하다. 그러나, 숫자나 문자인 경우 불변 객체이기 때문에 중첩 함수 내에서는 값을 변경할 수 없다. 이 때문에 클래스 변수를 사용한 것이다.
44. 가장 긴 동일 값의 경로
동일한 값을 지닌 가장 긴 경로를 찾아라.
풀이 1. 상태값 거리 계산 DFS
이 문제는 바로 이전 43번 문제와 유사하다. 트리의 말단, 리프 노드까지 DFS로 탐색해 내려간 다음, 값이 일치할 경우 다음과 같이 거리를 쌓아 올려가며 백트래킹 하는 형태로 풀이가 가능하다.
먼저, 다음과 같이 DFS 재귀 탐색을 한다.
def dfs(node: TreeNode) :
...
left = dfs(node.left)
right = dfs(node.right)위의 코드처럼 재귀 호출로 내려가면 left, right는 각각 리프 노드에 이르러서 값을 리턴받게 된다. 더 이상 존재하지 않는 노드까지 내려가게 되면 다음과 같은 형태로 값을 리턴한다.
if node is None:
return 0존재하지 않는 노드까지 내려가게 되면 거리 0을 리턴한다. 이제 이 값이 점점 백트래킹 되면서 증가할 것이다. 이 문제는 동일 값 여부를 판별해 거리를 계산해야하므로, 다음과 같이 자식 노드가 동일한 값인지 확인하는 과정이 필요하다.
if node.left and node.left.val == node.val :
left += 1
else :
left = 0
if node.right and node.right.val == node.val :
right += 1
else :
right = 0왼쪽과 오른쪽 자식 노드를 각각 확인해서 현재 노드, 즉 부모 노드와 동일한 경우 각각 거리를 1 증가한다. 이제 다음과 같이 왼쪽 자식과 오른쪽 자식 노드 간 거리의 합을 결과로 한다.
result = max(result, left + right)합이 가장 큰 값을 최종 결과로 한다. 다음번 백트래킹 시 계산을 위해 앞서 문제와 유사헥 상태값을 세팅해서 부모 노드로 올려야 한다. 다음과 같이 부모 노드를 위해 현재까지의 거리를 리턴해준다.
return max(left, right)현재 노드는 양쪽 자식 노드를 모두 연결할 수 있지만 현재 노드의 부모 노드에서는 지금의 양쪽 자식 노드를 동시에 연결할 수 없다. 단방향이므로 양쪽 자식 노드 중 어느 한쪽 자식만 택할 수 있기 때문에 둘 중 큰 값을 상태값으로 리턴해준다. 최종 코드는 다음과 같다.
class Solution:
result = 0
def longestUnivaluePath(self, root) :
def dfs(node) :
if node is None :
return 0
# 존재하지 않는 노드까지 DFS 재귀 탐색
left = dfs(node.left)
right = dfs(node.right)
# 현재 노드가 자식 노드와 동일한 경우 거리 1 증가
if node.left and node.left.val == node.val :
left += 1
else :
left = 0
if node.right and node.right.val == node.val :
right += 1
else :
right = 0
# 왼쪽과 오른쪽 자식 노드 간 거리의 합 최댓값이 결과
self.result = max(self.result, left + right)
# 자식 노드 상태값 중 큰 값 리턴
return max(left, right)
dfs(root)
return self.result45. 이진 트리 반전
중앙을 기준으로 이진 트리를 반전 시키는 문제
풀이 1. 파이썬다운 방식
사실 파이써닉한 방식으로 짧고 간결하게 풀 수 있다.
def inverTree(self, root) :
if root :
root.left, root.right = \
self.invertTree(root.right), self.inverTree(root.left)
return root
return None
재귀를 꾸준히 학습함으로써 자연스럽게 직관이 생겨나게 하는 것 이 좋다.
풀이 2. 반복 구조로 BFS
42번 이진 트리의 최대 깊이 문제와 유사한 형태의 코드이다.
def invertTree(self, root) :
queue = collections.deque([root])
while queue :
node = queue.popleft()
# 부모 노드부터 하향식 스왑
if node :
node.left, node.right = node.right, node.left
queue.append(node.left)
queue.append(node.right)먼저 삽입된 노드는 반복 구조로 계속 스왑되면서 자식 노드가 계속해서 큐에 추가되는 구조가 된다.
앞서 재귀 풀이가 가장 말단, 리프 노드까지 내려가서 백트래킹하면서 스왑하는 상향 방식이라면, 이 풀이는 부모 노드부터 스왑하면서 계속 아래로 내려가는 하향 방식 풀이라 할 수 있다.
풀이 3. 반복 구조로 DFS
이 풀이를 DFS로 풀이하기 위해 BFS 풀이에서 딱 한줄만 수정했다.
def invertTree(self, root) :
stack = collections.deque([root])
while stack :
node = stack.pop()
# 부모 노드부터 하향식 스왑
if node :
node.left, node.right = node.right, node.left
stack.append(node.left)
stack.append(node.right)
return root풀이 4. 반복 구조로 DFS 후위 순회
앞서 풀이는 전위 순회 형태로 처리했지만, 다음과 같이 후위(Post-Order) 순회로 변경해도 아무런 문제가 없다. 그저 탐색 순서만 달라질 뿐이다.
def invertTree(self, root) :
stack = collections.deque([root])
while stack :
node = stack.pop()
# 부모 노드부터 하향식 스왑
if node :
stack.append(node.left)
stack.append(node.right)
node.left, node.right = node.right, node.left # 후위 순회
return root스왑 위치만 다르고 모든 코드는 동일하다. 풀이 1부터 4의 실행속도는 동일하다.
46. 두 이진 트리 병합
두 이진 트리를 합치는 문제. 중복되는 노드는 값을 합산한다.
풀이 1. 재귀 탐색
전체코드는 다음과 같다.
def mergeTrees(self, t1, t2) :
if t1 and t2 :
node = TreeNode(t1.val + t2.val)
node.left = self.mergeTrees(t1.left, t2.left)
node.right = self.mergeTress(t1.right, t2.right)
return node
else :
return t1 or t2각각 이진 트리의 루트부터 시작해 합쳐 나가면서 좌, 우 자식 노드 또한 병합될 수 있도록 각 트리 자식 노드를 재귀 호출한다. 만약 어느 한쪽에 노드가 존재하지 않는다면(not(t1 and t2)) 존재하는 노드만 리턴하고 더 이상 재귀 호출을 진행하지 않는다. 만약 양쪽 노드가 모두 존재하지 않는다면 None이 리턴될 것 이다.
동적 타이핑 언어인 파이썬의 강력한 기능 중 하나는 return None 을 생략할 수 있는 점이다.
위 코드의 구조를 표현하면 다음과 같다.
후위 순회 임을 확인할 수 있다.
47. 이진 트리 직렬화 & 역직렬화
이진 트리를 배열로 직렬화하고 반대로 역직렬화하는 기능을 구현하라. 즉, 다음과 같은 트리는 [1, 2, 3, null, null, 4, 5] 형태로 직렬화할 수 있다.
풀이 1. 직렬화 & 역직렬화 구현
직렬화를 구현하기 위해서는 이진 트리의 특징과 표현 에 대해 정확히 알아야 한다. 이진 트리 데이터 구조는 논리적인 구조다. 이를 파일이나 디스크에 저장하기 위해서는 물리적인 형태로 바꿔줘야 하는데 이를 직렬화 라고 한다.
직렬화
직렬화의 전체적인 과정을 정리해보았다.
이진트리를 BFS 로 표현하면 순서대로 배치되기 때문에 DFS에 비해 매우 직관적으로 알아보기 가능하다.
BFS 탐색을 위해 45번 이진 트리 반전 문제에서 풀이했던 BFS 반복 풀이를 변경해볼 예정이다.
def invertTree(self, root) : # 1
queue = collections.deque([root])
while queue:
node = queue.popleft()
if node:
node.left, node.right = node.right, node.left # 2
queue.append(node.left)
queue.append(node.right)
# 결과 변수를 처리하는 부분 : 3
return root가장 먼저 함수명과 리턴타입을 변경해야한다. 리턴 값을 문자열로 받는다.
def serialize(self, root) -> str :다음으로 스왑하는 부분 수정이다.
def serailize(self, root) :
queue = collections.deque([root])
result = ['#']
while queue:
node = queue.popleft()
if node:
queue.append(node.left)
queue.append(node.right)
...
return result배열의 빈공간은 ’#’ 로 표현하기로 하였다. 이 문제의 리턴값을 문자열로 받아야 하는데, 파이썬의 널인 None은 문자열로 만들 수 없기 떄문이다.
위 코드에서 … 부분, 맨 앞에 가져온 코드에서는 ‘3’ 부분에 result 변수를 처리할 로직까지 추가한다면 다음과 같아진다.
def serialize(self, root) :
...
while queue :
node = queue.popleft()
if node :
queue.append(node.left)
queue.append(node.right)
result.append(str(node.val))
else :
result.append('#')
return result마지막으로 result는 다음과 같이 리스트가 아닌 배열로 바꿔준다.
return ''.join(result)직렬화한 출력 결과는 다음과 같다.
# A B C # # D E # # # # 역직렬화
동일하게 큐를 이용해 역직렬화를 진행한다. 노드 변수 root부터 세팅하고, 큐 변수도 만들어준다. 이제 큐를 순회하며서 처리하면 되는데, 왼쪽 자식과 오른쪽 자식은 각각 별도의 인덱스를 부여받아 다음과 같이 nodes를 먼저 탐색해나간다.
def deserialize(self, data) :
nodes = data.split()
root = TreeNode(int(nodes[1]))
queue = collections.deque([root])
index = 2
while queue:
node = queue.popleft()
if nodes[index] is not '#':
node.left = TreeNode(int(nodes[index]))
queue.append(node.left)
index += 1
if nodes[index] is not '# :
node.right = TreeNode(int(nodes[index]))
queue.append(node.right)
index += 1
’#’ 인 경우에는 큐에 삽입하지 않고, 아무런 처리도 하지않는다.
48. 균형 이진 트리
이진 트리가 높이 균형인지 판단하라. 서브 트리 간 높이 차이가 1 이하이여야 한다.
- 입력
[3,9,20,null,null,15,7]- 출력
true- 입력
[1,2,2,3,3,null,null,4,4]- 출력
false풀이 1. 재귀 구조로 높이 차이 계산
높이 균형은 매우 중요한 개념이다. 균형이 맞아야 효율적으로 트리를 구성할 수 있으며, 탐색 또한 훨신 더 효율적으로 처리할 수 있기 때문이다. 높이 균형을 매번 맞추는 AVL 트리가 대표적인 예이다.
def isBalanced(self, root) :
def check(root) :
if not root :
return 0
left = check(root.left)
right = check(root.right)재귀 호출로 리프 노드까지 내려간다. 맨 마지막에 이르면 각각 left = 0, right = 0 을 리턴하도록 구성한다. check 함수의 비즈니스 로직은 다음과 같다.
def check(root) :
...
if left == -1 or \
right == -1 or \
abs(left - right) > 1 :
return -1
return max(left, right) + 1left와 right가 모두 0이라면, 차이가 1보다 크지 않으므로 max(left, right) + 1 로 1을 리턴하게 된다. 이런 식으로 점점 1씩 증가하는 형태가 리턴된다.
문제의 두번째 예시를 그림으로 표현하면 다음과 같다.
양쪽 자식 노드 중 어느 하나가 -1이 되는 경우에는 계속해서 -1을 리턴하게 되며, 각 서브트리의 높이 차이가 한 번이라도 1을 초과하는 경우 -1이 할당되며 계속해서 부모 노드로 -1을 리턴하다 최종적으로 False를 리턴하게 된다.
49. 최소 높이 트리
노드 개수와 무방향 그래프를 입력받아 트리가 최소 높이가 되는 루트의 목록을 리턴하라.
- 입력
nodes = 6, edges = [[0,3],[1,3],[2,3],[4,3],[5,4]]
- 출력
[3,4]
풀이 1. 단계별 리프 노드 제거
최소 높이를 구성하려면 가장 가운데에 있는 값이 루트여야 한다. 리프 노드를 하나씩 제거해 나가면서 남아 있는 값을 찾으면 이 값이 가장 가운데 있는 값이 될 것이고, 이 값을 루트로 했을 때 최소 높이를 구성할 수 있다는 뜻이다.
def findMinHeightTress(selt, n, edges) :
...
graph = collections.defaultdict(list)
for i, j in edges :
graph[i].append(j)
graph[j].append(i)이 문제에서 그래프는 무방향이므로, 트리의 부모와 자식은 양쪽 노드 모두 번갈아 가능하다. 따라서, graph 딕셔너리에 양방향으로 삽입하여 구성한다.
leaves = []
for i in range(n + 1) :
if len(graph[i]) == 1 :
leaves.append(i)리프 노드를 찾아서 leaves에 추가한다. 리프 노드는 그래프에서 해당 키의 값이 1개뿐인 것을 말한다. 실제로 graph의 값을 출력해보면 다음과 같다.
>>> graph
defaultdict(<class 'list'>, {
1: [3],
3: [1, 2, 4, 5],
2: [3],
4: [3, 6],
5: [3, 7, 8],
6: [4, 10],
10: [6],
7: [5],
8: [5, 9],
9: [8]
})이 중에서 값이 1개 뿐인 [1, 2, 10, 7, 9] 가 첫 번째 리프 노드로 leaves 리스트 변수에 담기게 된다. 다음은 루트가 남을 때까지 반복해서 계속 제거해나가는 로직이다.
while n > 2 :
n -= len(leaves)
new_leaves = []
for leaf in leaves :
neighbor = graph[leaf].pop()
graph[neighbor].remove(leaf)
if len(graph[neighbor]) == 1 :
new_leaves.append(neighbor)
leaves = new_leavesn은 전체 노드의 개수이므로 여기서 leves, 즉 리프 노드의 개수만큼 계속 빼나가면서 최종 2개 이하가 남을 떄까지 반복한다. 마지막에 남은 값이 홀수 개일 때는 루트가 최종 1개가 되지만, 짝수 개일 때는 2개가 될 수 있다. 따라서 while 반복문은 2개까지는 게속 반복한다.
리프 노드는 반복하면서 제거 한다. 그래프 딕셔너리에서 pop()으로 제거하고, 연결된 값도 찾아서 제거한다. 무방향 그래프라 그래프를 각각 두 번씩 만들었으므로 제거 또한 두 번씩 진행한다.
이진 탐색 트리(BST)
앞서 이진 트리는 정렬 여부와 관계 없이 모든 노드가 둘 이하의 자식을 갖는 단순한 트리 형태라고 언급하였다. 그렇다면 이진 탐색 트리란 무엇일까??
BST 란
정렬된 트리를 말한다. 노드의 왼쪽 서브트리에는 그 노드의 값보다 작은 값들을 지닌 노드들로 이뤄져 있는 반면, 노드의 오른쪽 서브트리에는 그 노드의 값보다 같거나 큰 값들을 지닌 노드들로 이루어져 있는 트리
이렇게 왼쪽과 오른쪽의 값들이 각각 값의 크기에 따라 정렬되어 있는 트리를 이진 탐색 트리라고 한다.
이 트리의 가장 훌륭한 점은 탐색 시 시간 복잡도가 O(log n) 이라는 점이다.
로그는 1억개의 아이템도 단 27번이면 모두 찾아낼 수 있다.
이진 탐색 트리는 랜덤하게 생성해도 대부분의 경우 균형이 잘 맞는 아름다운 형태로 트리를 표현할 수 있지만, 운이 나쁘면 트리의 모양이 한쪽으로 치우쳐져서 O(n)의 시간 복잡도를 가지게 된다. 리스트형태처럼 되면 루트부터 맨 끝까지 차례대로 모두 탐색해야하므로 비효율적이다.
자가 균형 이진 탐색 트리
삽입, 삭제 시 자동으로 높이를 작게 유지하는 노드 기반의 이진 탐색 트리다.
이진 탐색 트리의 높이가 O(log n)이 되도록 만드는 트리를 자가 균형 이진 탐색 트리라고 한다.
즉, 높이를 가능한 한 낮게 유지하는 것이 중요하다는 얘기다.
탐색시간이 O(n) 에서 O(log n) 까지 줄어들 수 있으므로, 불균형과 균형의 성능 차이는 꽤 크다. 따라서 트리의 균형, 즉 높이의 균형을 맞추는 작업이 매우 중요하다. 이와 같이 높이 균형을 맞춰주는 자가 균형 이진 탐색 트리의 대표적인 형태로는 AVL 트리와 레드-블랙 트리가 있다. 특히 레드-블랙 트리는 높은 효율성으로 인해 실무에서도 매우 빈번하게 쓰이는 트리 형태이기도 하다.
50. 정렬된 배열의 이진 탐색 트리 반환
오름차순으로 정렬된 배열을 높이 균형 이진탐색트리로 변환하라.
높이 균형이란, 모든 노드의 두 서브 트리 간 깊이 차이가 ` 이하인 것을 말한다.
풀이 1. 이진 검색 결과로 트리 구성
BST를 만들기 위해서는 정렬된 배열을 이진 검색으로 계속 쪼개 나가기만 하면된다. 당연한 얘기지만 정렬되어 있지 않으면 사용할 숭수 없다. 이전 검색 자체가 정렬된 배열에서는 어떤 값이든지 간에 log(n)에 찾아낼 수 있는 마법이고, 동일한 이름의 BST 또한 당연히 정렬된 배열을 기준으로 한다.
def sortedArrayToBST(self, nums) :
if not nums:
return None
mid = len(nums) // 2
# 분할 정복으로 이진 검색 결과 트리 구성
node = TreeNode(nums[mid])
node.left = self.sortedArrayToBST(nums[:mid])
node.right = self.sortedArrayToBST(nums[mid+1:])
return node정확히 중앙값을 갖도록 내림값을 리턴하는 // 연산자를 사용했다. 즉 lens(nums) 가 3이라면, 2를 나눈 결과인 1.5에서 내림하여 1이 된다.
파이썬의 슬라이스 기능을 이용하면 간단하게 코드 구현이 가능하다. 이것은 절반씩 분할해 처리되는 분할 정복 구조로 처리된다.
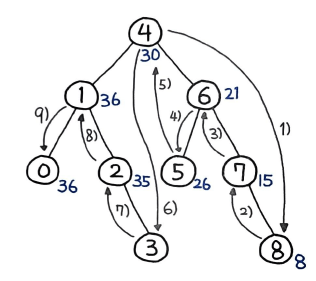
51. 이진 탐색 트리(BST)를 더 큰 수 합계 트리로
BST의 각 노드를 현재 값보다 더 큰 값을 가진 모든 노드의 합으로 만들어라.
- 입력
[4, 1, 6, 0, 2, 5, 7, null, null, null, 3, null, null, null, 8]
- 출력
[30, 36, 21, 36, 35, 26, 15, null, null, null, 33, null, null, null, 8]
풀이 1. 중위 순회로 노드 값 누적
자신보다 같거나 큰 값을 구하려면 자기 자신을 포함한 우측 자식 노드의 합을 구하면 된다.
root를 입력받았을 때 먼저 맨 오른쪽까지 내려가고, 그 다음 부모 노드, 다시 왼쪽 노드 순으로 이동하면서 자신의 값을 포함해 누적한다. 오른쪽 - 부모 - 왼쪽 순으로 이어지며, 오른쪽 자식부터 운행하는 중위 순회에 해당됨을 알 수 있다.
class Solution:
val: int = 0
def bstToGst(self, root) :
# 중위 순회 노드 값 누적
if root:
self.bstToGst(root.right)
self.val += root.val
root.val = self.val
self.bstToGst(root.left)
return rootval 변수는 누적된 값을 저장하는 변수이다.
52. 이진 탐색 트리(BST) 합의 범위
이진 탐색 트리(BST)가 주어졌을 때, L 이상 R 이하의 값을 지닌 노드의 합을 구하라.
- 입력
root = [10, 5, 15, 3, 7, null, 18], L = 7, R = 15
- 출력
32
- 설명
7 이상, 15 이하인 또 다른 노드는 10이 있으며 따라서 결과는 7+10+15 = 32 가 된다.
풀이 1. 재귀 구조 DFS 로 브루트 포스 탐색
이진 탐색 트리의 특성을 이용해 재귀 구조로 브루트 포스로 풀 수 있다.
재귀 구조는 스택을 이용해 함수를 호출하고, 스택은 LIFO 구조이므로 DFS로 풀 수 있다.
DFS로 전체를 탐색한 다음, 노드의 값이 L과 R 사이일 때만 값을 부여하고, 아닐 경우에는 0을 취해 계속 더해나가면 된다.
def rangeSumBST(self, root, L, R) :
if not root :
return 0
return (root.val if L <= root.val <= R else 0) + \
self.rangeSumBST(root.left, L, R) + \
self.rangeSumBST(root.right, L, R)그러나, 이 방법은 모든 노드를 탐색하는 브루트 포스 풀이이다. 최적화가 가능하다.
풀이 2. DFS 가지치기로 필요한 노드 탐색
DFS로 불필요한 노드는 가지치기를 통해 최적화를 진행하는 풀이이다.
def dfs(node: TreeNode) :
...
if node.val < L :
return dfs(node.right)
elif node.val > R :
return dfs(node.left)이진 탐색 트리는 왼쪽이 항상 작고, 오른쪽이 항상 크다. 즉 현재 노드 root가 L 보다 작을 경우, 더 이상 왼쪽 가지는 볼 필요가 없다. 불필요한 탐색을 줄여 최적화 할 수 있다.
def rangeSumBST(self, root, L, R) :
def dfs(node) :
if not node :
return 0
if node.val < L :
return dfs(node.right)
elif node.val > R :
return dfs(node.left)
return node.val + dfs(node.left) + dfs(node.right)
return dfs(root)풀이 3. 반복 구조 DFS로 필요한 노드 탐색
대부분의 재귀 풀이는 반복으로 변경할 수 있다. 일반적으로 반복 풀이가 재귀 풀이에 비해 좀 더 직관적으로 이해가 쉽다.
def rangeSumBST(self, root, L, R) :
stack, sum = [root], 0
# 스택 이용 필요한 노드 DFS 반복
while stack :
node = stack.pop()
if node :
if L < node.val :
stack.append(node.left)
if node.val < R :
stack.append(node.right)
if L <= node.val <= R :
sum += node.val
return sum유효한 노드만 스택에 계속 집어 넣으면서, L과 R사이의 값인 경우 값을 더해 나간다.
풀이 4. 반복 구조 BFS로 필요한 노드 탐색
BFS로 탐색해도 동일하다. 여기서는 스택을 단순히 큐 형태로 바꾸기만 하면, BFS를 구현할 수 있다.
원래는 파이썬의 데크를 사용해야 성능을 높일 수 있지만, 여기서는 편의상 간단히 리스트를 그냥 pop(0)로 처리하는 정도로 구현한다.
def rangeSumBST(self, root, L, R) :
queue, sum = [root], 0
# 큐 이용 필요한 노드 BFS 반복
while queue :
node = queue.pop(0)
if node :
if L < node.val :
queue.append(node.left)
if node.val < R :
queue.append(node.right)
if L <= node.val <= R :
sum += node.val
return sum53. BST 노드 간 최소 거리
두 노드 간 값의 차이가 가장 작은 노드의 값의 차이를 출력하라.
재귀 구조로 중위 순회
이진 탐색 트리의 중위 순회 결과는 오름차순으로 정렬된 결과를 얻을 수 있다.
def f() :
if root.left :
f(root.left)
result = min()
if root.right :
f(root.right)위의 형태가 중위 순회의 기본 뼈대가 될 것 이다.
class Solution :
prev = -sys.maxsize
result = sys.maxsize
# 재귀 구조 중위 순회 비교 결과
def minDiffInBST(self, root) :
if root.left :
self.minDiffInBST(root.left)
self.result = min(self.result, root.val - self.prev)
self.prev = root.val
if root.right :
self.minDiffInBST(root.right)
return self.result풀이 2. 반복 구조로 중위 순회
재귀일 때는 prev와 result를 클래스 멤버 변수로 선언했지만, 반복 구조에서는 한 함수 내에서 처리할 수 있기 때문에 함수 내 변수로 선언이 가능하다는게 차이점이다.
def minDiffInBST(self, root) :
prev = -sys.maxsize
result = sys.maxsize
stack = []
node = root
# 반복 구조 중위 순회 비교 결과
while stack or node :
while node :
stack.append(node)
node = node.left
node = stack.pop()
result = min(result, node.val - prev)
prev = node.val
node = node.right DFS 풀이인 만큼 스택을 사용했고, 오른쪽 자식 노드를 택하기 전에 비교하는 형태로 재귀와 동일하게 중위 순회로 풀이했다.
트리 순회
그래프 순회의 한 형태로, 트리 자료구조에서 각 노드를 정확히 한 번 방문하는 과정
그래프 순회와 마찬가지로, 트리 순회 또한 DFS 또는 BFS로 탐색한다. 특히 이진 트리에서 DFS는 노드의 방문 순서에 따라 다음과 같이 3가지 방식으로 구분된다.
- 전위(Pre-Order) 순회(NLR)
- 중위(In-Order) 순회(LNR)
- 후위(Post-Order) 순회(LRN)
N은 현재노드, L은 현재 노드의 왼쪽 서브트리, R은 현재 노드의 오른쪽 서브트리를 의미한다.
- 왼쪽 점(전위) : F, B, A, D, C, E, G, I, H
- 아래쪽 점(중위) : A, B, C, D, E, F, G, H, I
- 오른쪽 점(후위) : A, C, E, D, B, H, I, G, F
각 순회 방식을 코드를 통해 구체적으로 살펴보자. 트리의 순회 방식은 재귀 또는 반복, 모두 구현이 가능하지만, 트리의 재귀적 속성으로 인해 재귀 쪽이 훨씬 더 구현이 간단하다.
연결 리스트를 담을 Node 클래스를 정의하고 트리의 전체 입력값을 root 변수로 다음과 같이 정의해봤다.
class Node :
def __init__(self, val, left=None, right=None) :
self.val = val
self.left = left
self.right = right
root = Node('F',
Node('B',
Node('A'),
Node('D',
Node('C'),
Node('E')
)
),
Node('G',
None,
Node('I',
Node('H')
)
)
)
전위 순회
def preorder(node) :
if node is None:
return
print(node.val, end=' ')
preorder(node.left)
preorder(node.right)재귀로 구현하면 반복보다 코드가 매우 간결하고 보기 쉽다.
중위 순회
def inorder(node) :
if node is None:
return
inorder(node.left)
print(node.val, end=' ')
inorder(node.right)후위 순회
def postorder(node) :
if node is None:
return
postorder(node.left)
postorder(node.right)
print(node.val, end=' ')54. 전위, 중위 순회 결과로 이진 트리 구축
트리의 전위, 중위 순회 결과를 입력값으로 받아 이진 트리를 구축하라.
풀이 1. 전위 순회 결과로 중위 순회 분할 정복
순회에는 크게 전위, 중위, 후위 순회가 있으며 이 셋 중 2가지만 있어도 이진 트리를 복원 가능하다.
전위의 첫 번째 결과값은 부모 노드다. 즉 전위 순회의 첫 번째 결과는 정확히 중위 순휘 결과를 왼쪽과 오른쪽으로 분할시키는 역할을 한다.
중위 순회의 분할 정복문제로 바꿀 수 있는 것 이다.두 번째로 왼쪽 노드의 2는 중위 순회 결과를 정확히 반 가르고, 각각 왼쪽 자식은 4, 오른쪽 자식은 5로 마무리한다.
오른쪽의 경우 3이 첫번째 값인데, 마침 중위 순회에서는 맨 오른쪽에 위치해 있다. 이 말은 3의 오른쪽 자식 노드는 존재하지 않는다는 얘기다. 이런식으로 분할해서 정복을 하면된다.
index = inorder.index(preorder.pop(0))먼저, 전위 순회 첫 번째 결과를 가져와 중위 순회를 분할하는 인덱스로 한다.
node = TreeNode(inorder[index])
node.left = self.buildTree(preorder, inorder[:index])
node.right = self.buildTree(preorder, inorder[index+1:])이 값을 현재 노드로 구성하고, 이를 기준으로 중위 순회 결과를 쪼개서 왼쪽, 오른쪽으로 각각 마무리 될 때 분할 정복 구조로 재귀 호출하면, 트리 구성이 가능하다.
def buildTree(self, preorder, inorder) :
if inoder :
# 전휘 순회 결과는 중위 순회 분할 인덱스
index = inorder.index(preorder.pop(0))
# 중위 순회 결과 분할 정복
node = TreeNode(inorder[index])
node.left = self.buildTree(preorder, inorder[:index])
node.right = self.buildTree(preorder, inorder[index+1:])
return node전위 순휘 결과는 pop(0)으로 가져온다. 즉 큐 연산이며 파이썬에서는 데크로 구현가능하다.
